Click here to download SpikeFun...
DigiCortex Engine in SpikeFun v0.94 adds support for another neuron model: Adaptive Exponential Integrate and Fire (AdEx or Brette-Gerstner) model. Each base neuron type (see BaseNeuronTypes.xml in /NeuronLibrary folder) can be configured to be modeled either with Izhikevich' adaptive quadratic integrate and fire or with Brette-Gerstner adaptive exponential integrate and fire models.
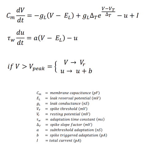
AdEx neuron model belongs to the same hybrid two-dimensional class of neuron models as Izhikevich' model (adaptive quadratic integrate and fire) and it is described with the following two differential equations and one reset condition:

As it can be seen from the formulae above, AdEx is very similar to Izhikevich' model, apart from the spike initiation which is exponential (compared to quadratic as in Izhikevich model). Also, model parameters in AdEx model could be directly attributed to biophysical quantities (such as leak conductance) which could, at least in principle, make the automatic tuning of the model to real neurons straightforward. In addition, exponential term in AdEx model is more close to the real neuron's spike "sharpness" (although, this can be mitigated in Izhikevich' model by changing the 'k' parameter of the model depending on whether the membrane potential is below or above Vt, as described in Izhikevich' "Dynamical Systems in Neuroscience").
Similarly to Izhikevich' model, AdEx model has been successfully tuned to faithfully reproduce the spiking patterns of cortical pyramidal neurons (Clopath et al. 2008) and it was found to be able to reproduce up to 96% of the spikes of the reference regular spiking Hodgkin–Huxley-type model (Brette and Gerstner, 2005). In the quantitative single-neuron modeling competition 2008 (Jolivet et al.) AdEx model was able to predict 89.9% spikes of the recorded cortical neuron.
Below picture shows bursting behavior of the AdEx model:

Both Izhikevich and Brette-Gerstner models belong to the same class of hybrid two-dimensional models and undergo the same bifurcations (Touboul J. 2008). DigiCortex engine can now simulate both models in the same simulation. In order to test the AdEx model, just simply rename the BaseNeuronTypes.adex to BaseNeuronTypes.xml. In BaseNeuronTypes.adex, Pyramidal cells of cortex layer V and VI are simulated using AdEx model.
In order to maintain numerical stability while not sacrificing the simulation performance, DigiCortex is using hybrid forward and backward Euler methods for both Brette-Gerstner and Izhikevich models (Izhikevich E.M.2010), where synaptic currents are computed with backward Euler method. This results in fast and numerically stable solution without resorting to higher-order methods such as Runge-Kutta. Although AdEx model, unlike Izhikevich' model, is not sensitive to the peak voltage parameter and exact peak voltage crossing (Touboul 2008), DigiCortex computes exact spike timing with sub-millisecond accuracy for both Izhikevich' and AdEx models as described in (Izhikevich E.M. 2010).